Opis materijala
Udaljenost točaka u ravnini - materijali za dva ili više sati (izvod formule uvježbavanje i ponavljanje).
1.dio materijala (1. sat)
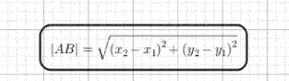
U videolekciji Udaljenost točaka u koordinatnom sustavu'' definira se udaljenost točaka u ravnini i izvodi analitička formula detaljno i postupno rješeni su primjeri karakteristični za ovu nastavnu jedinicu.IPredavanje i izvod formule u pdf obliku.
Nastavni listić sa zadacima.
2.dio materijala (2. i 3. sat)
Interaktivni online kviz za ponavljanje na početku sata.
Nastavni listić sa zadacima Udaljenost točaka u ravnini'' koji služi za ponavljanje.
Materijali sadrže i listić s rješenjima nastavnog listića.
Doprinosi
Marina Ninković, Autor
Marina Ninković, Osobe ili ustanove koje objavljuju materijal
Osoba ili ustanova koja objavljuje materijal
Kategorija materijala
- Obrazovni sadržaji-> Srednje škole - opći predmeti-> 1. razred-> Matematika
- Obrazovni sadržaji-> Srednje škole - opći predmeti-> 1. razred-> Matematika-> A. Brojevi
Bilješke
Skraćeni naziv
Udaljenost točaka u ravnini
Vrsta materijala
DOS
Uvjeti iskorištavanja
Imenovanje (CC BY)
Način pristupa
Otvoreni pristup
Jezik
hrvatski - standardni
Datum izrade materijala
30.03.2021.
Tagovi
udaljenost točaka
Datum unosa materijala
31.03.2020.
Status materijala
Gotov materijal
Verzija
1.0
Preporučeni materijali
108 neurorazvojnih izazova za rad u učionici i vani (za sve razrede) - francuski jezik
Danijela Valenta
nastavni listići
Obrazovni sadržaji • Osnovne škole • 4. razred • Zdravlje
DOCX
Inovativne metode u procesu poučavanja - DIJELJENJE PRIMJERA DOBRE PRAKSE – POLITIKA I VJERA (Dopuni praznine)
Željko Milnović
digitalni obrazovni sadržaji
Obrazovni sadržaji • Strukovne škole • Ekonomija, trgovina i poslovna administracija • Ekonomija
Uređeno danas
1
Komentari